Advanced Search

Vital Surveillances: Trends and Age-Period-Cohort Effect on Acute Hepatitis B Incidence — China, 2005–2021

View author affiliation
  • Abstract

    Introduction

    This study analyzed long-term trends in the incidence of acute hepatitis B (AHB) in China, focusing on age, period, and cohort effects on incidence.

    Methods

    Data on AHB from 2005 to 2021 were extracted from the National Notifiable Disease Reporting System (NNDRS) of China for analysis. Incidences of AHB were calculated by gender and age group using population denominators from the 2000, 2010, and 2020 censuses. Joinpoint regression was employed to evaluate trends, and an age-period-cohort model was used to assess the age, period, and cohort effects.

    Results

    The annual average incidence of reported AHB in children aged 14 years and below in low, intermediate, and high endemic areas decreased from 1.65, 2.33, and 2.56 per 100,000 in 2005–2010 to 0.56, 0.58, and 0.48 per 100,000 in the 2016–2021 period. The 15–39-year age group in high endemic areas exhibited the most significant decline in incidence, dropping from 23.14 per 100,000 in 2005 to 4.59 per 100,000 in 2021 among males and from 10.62 per 100,000 to 3.21 per 100,000 among females. Age-period-cohort analysis indicated decreasing age, period, and cohort effects for reported AHB incidence in each endemic area, except for a slight upward trend in the 15–19-year age group and in the cohort born between 1951 and 1955.

    Conclusions

    This study demonstrated a rapid decline in AHB incidence across various endemic areas since 2005. Children aged 14 years and below exhibited very low AHB incidences, while the incidence among individuals over 15 years was higher. To further reduce AHB incidence, hepatitis B vaccine (HepB) coverage should be enhanced among adolescents and adults.

  • loading...
  • Funding:Beijing Natural Science Foundation (L212058)
  • [1] Centers for Disease Control and Prevention. Progress in hepatitis B prevention through universal infant vaccination — China, 1997–2006. MMWR Morb Mortal Wkly Rep 2007;56(18):441-5. https://www.cdc.gov/mmwr/preview/mmwrhtml/mm5618a2.htm.
    [2] Liu ZQ, Lin CQ, Mao XH, Guo CN, Suo C, Zhu DL, et al. Changing prevalence of chronic hepatitis B virus infection in China between 1973 and 2021: a systematic literature review and meta-analysis of 3740 studies and 231 million people. Gut 2023;72(12):2354 − 63. https://doi.org/10.1136/gutjnl-2023-330691.
    [3] Orenstein W, Offit P, Edwards KM, Plotkin S. Plotkin’s vaccines. 8th ed. Amsterdam: Elsevier. 2023; p. 404-5. http://dx.doi.org/10.1016/C2019-0-00240-3.
    [4] Miao N, Zheng H, Sun XJ, Wang FZ, Zhang GM, Yin ZD. Acute hepatitis B — China, 2005−2019. China CDC Wkly 2020;2(30):559 − 63. https://doi.org/10.46234/ccdcw2020.150.
    [5] Bixler D, Roberts H, Panagiotakopoulos L, Nelson NP, Spradling PR, Teshale EH. Progress and unfinished business: hepatitis B in the United States, 1980-2019. Public Health Rep 2023;333549231175548. http://dx.doi.org/10.1177/00333549231175548.
    [6] Liang X, Bi S, Yang W, Wang L, Cui G, Cui F, et al. Evaluation of the impact of hepatitis B vaccination among children born during 1992-2005 in China. J Infect Dis 2009;200(1):39 − 47. https://doi.org/10.1086/599332.
    [7] Liu T, Wang L, Ruan DX, Hou QB, Yao ML, Huang JG, et al. Hepatitis B incidence trends among < 10-year-old children of Jingzhou City from 2005 to 2021, analyzed with an age-period-cohort (APC) model. Chin J Vaccines Immun 2022;28(4):422 − 26. https://doi.org/10.19914/j.CJVI.2022081.
    [8] Wang AL, Qiao YP, Wang LH, Fang LW, Wang F, Jin X, et al. Integrated prevention of mother-to-child transmission for human immunodeficiency virus, syphilis and hepatitis B virus in China. Bull World Health Organ 2015;93(1):52 − 6. https://doi.org/10.2471/BLT.14.139626.
    [9] Zheng H, Wang FZ, Zhang GM, Yuan QL, Miao N, Sun XJ. A typical investigation on the status of diagnosis and reporting of hepatitis B inpatients in non-surveillance hospitals in three provinces in China, 2015. Chin J Prev Med 2018;52(10):1034 − 8. https://doi.org/10.3760/cma.j.issn.0253-9624.2018.10.013.
    [10] Han YN, Tang Q, Zhu W, Zhang XQ, You LY. Clinical, biochemical, immunological and virological profiles of, and differential diagnosis between, patients with acute hepatitis B and chronic hepatitis B with acute flare. J Gastroenterol Hepatol 2008;23(11):1728 − 33. https://doi.org/10.1111/j.1440-1746.2008.05600.x.
  • FIGURE 1.Joinpoint analysis of AHB incidence in low, intermediate, and high endemic areas of China from 2005 to 2021. (A) Trends of AHB incidence in low endemic areas. (B) Trends of AHB incidence in intermediate endemic areas. (C) Trends of AHB incidence in high endemic areas.

    Abbreviation: HepB=hepatitis B vaccine; AHB=acute hepatitis B; iPMTCT=integrated prevention of mother-to-child transmission of HIV, syphilis, and hepatitis B; HIV=human immunodeficiency virus.

    FIGURE 2.Age, period, and cohort effects on AHB incidence in low, intermediate, and high endemic areas of China from 2006 to 2020. (A) Age effects on AHB incidence in low, intermediate, and high endemic areas. (B) Period effects on AHB incidence in low, intermediate, and high endemic areas. (C) Cohort effects on AHB incidence in low, intermediate, and high endemic areas.

    Abbreviation: AHB=acute hepatitis B.

    TABLE 1.Annual average reported incidence of AHB and changes by endemic area and age group, 2005–2021, China.

    Categories Low endemicity Intermediate endemicity High endemicity
    Incidence rate (95%CI)
    (1/100,000)
    Percent
    change (%)
    Incidence rate (95%CI)
    (1/100,000)
    Percent
    change (%)
    Incidence rate (95%CI)
    (1/100,000)
    Percent
    change (%)
    0–14 age group
    2005–2010 1.65 (1.61, 1.69) Reference 2.33 (2.29, 2.37) Reference 2.56 (2.52, 2.60) Reference
    2011–2015 0.62 (0.59, 0.65) −62.42 0.72 (0.69, 0.75) −69.10 0.94 (0.91, 0.97) −63.28
    2016–2021 0.56 (0.54, 0.58) −66.06 0.58 (0.56, 0.60) −75.11 0.48 (0.46, 0.50) −81.25
    ≥15 age group
    2005–2010 6.26 (6.22, 6.30) Reference 7.68 (7.65, 7.71) Reference 11.73 (11.68, 11.78) Reference
    2011–2015 4.04 (4.01, 4.07) −35.46 5.36 (5.33, 5.39) −30.21 9.45 (9.41, 9.49) −19.44
    2016–2021 3.61 (3.58, 3.64) −42.33 3.86 (3.84, 3.88) −49.74 5.49 (5.46, 5.52) −53.20
    Total
    2005–2010 5.37 (5.34, 5.40) Reference 6.72 (6.69, 6.75) Reference 9.87 (9.83, 9.91) Reference
    2011–2015 3.47 (3.44, 3.50) −35.38 4.64 (4.61, 4.67) −30.95 7.93 (7.89, 7.97) −19.66
    2016–2021 3.09 (3.07, 3.11) −42.46 3.34 (3.32, 3.36) −50.30 4.58 (4.55, 4.61) −53.60
    Note: 2005–2010: after full HepB introduction into EPI; 2011–2015: after the nationwide childhood HepB catch-up campaign; 2016–2021: after integrated prevention of mother-to-child transmission of HIV, syphilis, and hepatitis B (iPMTCT) program expanded nationwide.
    Abbreviation: AHB=acute hepatitis B;CI=confidence interval; EPI=Expanded Program on Immunization; HepB=hepatitis B vaccine; HIV= human immunodeficiency virus.
    Download: CSV

    TABLE 2.Trends in AHB incidence across various time segments identified through joinpoint analysis by endemic areas, age groups, and gender, 2005–2021, China.

    Age (years) Gender Incidence rate (1/100,000) Total study period Trend 1 Trend 2 Trend 3 Trend 4
    2005 2021 AAPC (%) 95%CI Years APC (%) Years APC (%) Years APC (%) Years APC (%)
    Low endemicity
    Total 5.96 3.07 −4.78* (−6.38, −3.02) 2005–2012 −9.86* 2012–2021 −0.63
    0−14 Male 2.53 0.43 −12.58* (−15.66, −9.50) 2005–2012 −20.56* 2012–2018 2.90 2018–2021 −21.11*
    Female 1.35 0.36 −9.31* (−12.24, −6.36) 2005–2013 −17.56 2013–2016 18.38 2016–2021 −9.97
    15−39 Male 11.88 4.23 −7.53* (−8.96, −5.94) 2005–2012 −13.45* 2012–2021 −2.64
    Female 6.16 3.26 −4.97* (−7.35, −2.43) 2005–2021 −4.97*
    ≥40 Male 6.56 4.62 −2.49* (−3.94, −0.85) 2005–2012 −6.79* 2012–2021 0.99
    Female 2.43 2.58 −0.35 (−2.47, 1.90) 2005–2021 −0.35
    Intermediate endemicity
    Total 8.04 2.55 −6.30* (−7.60, −4.93) 2005–2021 −6.30*
    0−14 Male 4.67 0.50 −12.95* (−15.16, −10.25) 2005–2011 −24.83* 2011–2021 −4.94
    Female 2.63 0.38 −11.01* (−12.59, −9.24) 2005–2011 −23.67* 2011–2021 −2.43
    15−39 Male 15.82 3.25 −9.74* (−10.81, −8.62) 2005–2021 −9.74*
    Female 7.94 2.08 −7.76* (−8.94, −6.52) 2005–2021 −7.76*
    ≥40 Male 8.07 4.01 −4.33* (−5.38, −3.37) 2005–2018 −1.91* 2018–2021 −14.16*
    Female 3.37 2.28 −2.49* (−4.05, −1.10) 2005–2018 0.09 2018–2021 −12.92*
    High endemicity
    Total 10.42 3.23 −7.45* (−8.12, −6.79) 2005–2015 −4.36* 2015–2021 −12.38*
    0−14 Male 4.63 0.29 −16.82* (−18.13, −15.65) 2005–2011 −19.12* 2011–2019 −11.62* 2019–2021 −29.00*
    Female 2.25 0.22 −13.43* (−14.40, −12.48) 2005–2007 −8.34 2007–2011 −21.07* 2011–2016 −3.63 2016–2021 −18.16*
    15−39 Male 23.14 4.59 −10.00* (−10.56, −9.39) 2005–2012 −5.57* 2012–2021 −13.30*
    Female 10.62 3.21 −7.66* (−8.48, −6.82) 2005–2014 −3.45* 2014–2021 −12.80*
    ≥40 Male 9.98 5.27 −4.04* (−4.91, −3.19) 2005–2015 0.08 2015–2021 −10.53*
    Female 3.53 2.67 −1.88* (−2.69, −1.05) 2005–2015 2.75* 2015–2021 −9.14*
    Abbreviation: AHB=acute hepatitis B; APC=annual percent change; AAPC=average annual percent change;CI=confidence interval.
    *P<0.05.
    Download: CSV

Citation:

通讯作者:陈斌, bchen63@163.com
  • 1.

    沈阳化工大学材料科学与工程学院 沈阳 110142

  1. 本站搜索
  2. 百度学术搜索
  3. 万方数据库搜索
  4. CNKI搜索
Turn off MathJax
Article Contents

Article Metrics

Article views(3292) PDF downloads(27)Cited by()

Share

Related

Trends and Age-Period-Cohort Effect on Acute Hepatitis B Incidence — China, 2005–2021

View author affiliation

Abstract

Introduction

This study analyzed long-term trends in the incidence of acute hepatitis B (AHB) in China, focusing on age, period, and cohort effects on incidence.

Methods

Data on AHB from 2005 to 2021 were extracted from the National Notifiable Disease Reporting System (NNDRS) of China for analysis. Incidences of AHB were calculated by gender and age group using population denominators from the 2000, 2010, and 2020 censuses. Joinpoint regression was employed to evaluate trends, and an age-period-cohort model was used to assess the age, period, and cohort effects.

Results

The annual average incidence of reported AHB in children aged 14 years and below in low, intermediate, and high endemic areas decreased from 1.65, 2.33, and 2.56 per 100,000 in 2005–2010 to 0.56, 0.58, and 0.48 per 100,000 in the 2016–2021 period. The 15–39-year age group in high endemic areas exhibited the most significant decline in incidence, dropping from 23.14 per 100,000 in 2005 to 4.59 per 100,000 in 2021 among males and from 10.62 per 100,000 to 3.21 per 100,000 among females. Age-period-cohort analysis indicated decreasing age, period, and cohort effects for reported AHB incidence in each endemic area, except for a slight upward trend in the 15–19-year age group and in the cohort born between 1951 and 1955.

Conclusions

This study demonstrated a rapid decline in AHB incidence across various endemic areas since 2005. Children aged 14 years and below exhibited very low AHB incidences, while the incidence among individuals over 15 years was higher. To further reduce AHB incidence, hepatitis B vaccine (HepB) coverage should be enhanced among adolescents and adults.

  • 1. National Immunization Program, Chinese Center for Disease Control and Prevention, Beijing, China
  • Corresponding author:

    Huaqing Wang,wanghq@chinacdc.cn

  • Funding:Beijing Natural Science Foundation (L212058)
  • Online Date:July 26 2024
    Issue Date:July 26 2024
    doi:10.46234/ccdcw2024.164
  • Hepatitis B, an infectious disease caused by the hepatitis B virus (HBV), is preventable through vaccination. In 1992, the recombinant hepatitis B vaccine (HepB) was recommended for routine immunization of infants, starting at birth. HepB was incorporated into the Expanded Program on Immunization (EPI) in 2002, and patient copayments for its administration were removed in 2005, enhancing its accessibility and affordability (1). By 2021, the prevalence of HBV infection had significantly declined due to comprehensive prevention and control measures centered around HepB vaccination (2). According to the World Health Organization (WHO) criteria, China has transitioned from high to intermediate endemicity since 2006 (3). Nonetheless, HBV prevalence remains regionally variable within China, exhibiting areas of high, intermediate, and low endemicity. Although previous studies in China have documented the epidemiological characteristics and trends of acute hepatitis B (AHB) (4), analyses of long-term trends and age-period-cohort effects are lacking. This study aims to provide an updated and comprehensive overview of AHB epidemiology in China, evaluate the effects of age, period, and cohort on AHB incidence, and offer evidence to inform strategies for achieving China’s hepatitis elimination goals.

    • This study obtained AHB reports from the National Notifiable Disease Reporting System (NNDRS) in China spanning 2005 to 2021. Based on HBsAg prevalence among individuals aged 1–59 years from a 1992 viral hepatitis seroepidemiological survey, this study’s researchers classified the 31 provincial-level administrative divisions (PLADs) in China into low (<7%), intermediate (7%–11%), and high (>11%) endemic areas. The low endemic areas include Beijing, Hebei, Guizhou, Tianjin, Inner Mongolia, Shanxi, Jiangsu, Yunnan, and Xinjiang PLADs. The intermediate endemic areas are Shanghai, Shandong, Hunan, Anhui, Gansu, Qinghai, Jilin, Shaanxi, Sichuan, Chongqing, Heilongjiang, and Zhejiang PLADs, while the high endemic areas encompass Hubei, Henan, Ningxia, Liaoning, Guangxi, Jiangxi, Fujian, Xizang, Hainan, and Guangdong PLADs. AHB cases were categorized into 18 age groups: 0–4, 5–9, 10–14, 15–19, ..., 80–84, and ≥85 years old. The study period was segmented into three distinct phases: 2005–2010 (post-full HepB introduction into EPI), 2011–2015 (post-nationwide childhood HepB catch-up campaign), and 2016–2021 (post-nationwide expansion of the iPMTCT program). With consideration of age group and period (Cohort=Period−Age), we calculated 20 corresponding 5-year birth cohorts (1921–2915, 1926–1930, 1931–1935, …, 2016–2020). Male-to-female ratios for subgroups were determined using population data from the 2000, 2010, and 2020 China Population Census Yearbooks.

    • Joinpoint regression was utilized to analyze trend data, with the Monte Carlo permutation test identifying the number, location, andPvalues of joinpoints. Annual percentage change (APC) and average APC (AAPC) were calculated based on endemic area, gender, and age subgroup. Age, period, and cohort effects, as well as rate ratios, were estimated using an age-period-cohort model. Statistical analyses were conducted using Joinpoint software (version 5.0.2, Statistical Research and Applications Branch, National Cancer Institute, Bethesda, USA) and age-period-cohort analysis web tool (National Cancer Institute, Bethesd USA).

    • Table 1presents the incidences of AHB and their percentage changes by endemicity area, age group, and time period. From 2005 to 2010: In the 0–14 age group, the annual average reported AHB incidences per 100,000 population were 1.65, 2.33, and 2.56 in low, intermediate, and high endemic areas, respectively. In the ≥15 age group, the incidences were 6.26, 7.68, and 11.73, respectively. From 2011 to 2015: In the 0–14 age group, incidences were 0.62, 0.72, and 0.94, reflecting decreases of 62.42%, 69.10%, and 63.28% from the previous period in low, intermediate, and high endemic areas, respectively. In the ≥15 age group, incidences were 4.04, 5.36, and 9.45, with decreases of 35.46%, 30.21%, and 19.44%. From 2016 to 2021: In the 0–14 age group, average incidences were 0.56, 0.58, and 0.48, showing decreases of 66.06%, 75.11%, and 81.25% compared to 2005–2010 in low, intermediate, and high endemic areas, respectively. In the ≥15 age group, incidences were 3.61, 3.86, and 5.49, representing decreases of 42.33%, 49.74%, and 53.20%. AHB incidence was highest in high endemic areas and lowest in low endemic areas, but the annual average incidences varied by endemic area, gender, and age group. The corresponding results are provided in Supplementary Table S1 .

      Categories Low endemicity Intermediate endemicity High endemicity
      Incidence rate (95%CI)
      (1/100,000)
      Percent
      change (%)
      Incidence rate (95%CI)
      (1/100,000)
      Percent
      change (%)
      Incidence rate (95%CI)
      (1/100,000)
      Percent
      change (%)
      0–14 age group
      2005–2010 1.65 (1.61, 1.69) Reference 2.33 (2.29, 2.37) Reference 2.56 (2.52, 2.60) Reference
      2011–2015 0.62 (0.59, 0.65) −62.42 0.72 (0.69, 0.75) −69.10 0.94 (0.91, 0.97) −63.28
      2016–2021 0.56 (0.54, 0.58) −66.06 0.58 (0.56, 0.60) −75.11 0.48 (0.46, 0.50) −81.25
      ≥15 age group
      2005–2010 6.26 (6.22, 6.30) Reference 7.68 (7.65, 7.71) Reference 11.73 (11.68, 11.78) Reference
      2011–2015 4.04 (4.01, 4.07) −35.46 5.36 (5.33, 5.39) −30.21 9.45 (9.41, 9.49) −19.44
      2016–2021 3.61 (3.58, 3.64) −42.33 3.86 (3.84, 3.88) −49.74 5.49 (5.46, 5.52) −53.20
      Total
      2005–2010 5.37 (5.34, 5.40) Reference 6.72 (6.69, 6.75) Reference 9.87 (9.83, 9.91) Reference
      2011–2015 3.47 (3.44, 3.50) −35.38 4.64 (4.61, 4.67) −30.95 7.93 (7.89, 7.97) −19.66
      2016–2021 3.09 (3.07, 3.11) −42.46 3.34 (3.32, 3.36) −50.30 4.58 (4.55, 4.61) −53.60
      Note: 2005–2010: after full HepB introduction into EPI; 2011–2015: after the nationwide childhood HepB catch-up campaign; 2016–2021: after integrated prevention of mother-to-child transmission of HIV, syphilis, and hepatitis B (iPMTCT) program expanded nationwide.
      Abbreviation: AHB=acute hepatitis B;CI=confidence interval; EPI=Expanded Program on Immunization; HepB=hepatitis B vaccine; HIV= human immunodeficiency virus.

      Table 1.Annual average reported incidence of AHB and changes by endemic area and age group, 2005–2021, China.

    • The 15–39-year age group in high endemic areas exhibited the most significant decline in incidence, dropping from 23.14 per 100,000 in 2005 to 4.59 per 100,000 in 2021 among males, and from 10.62 per 100,000 to 3.21 per 100,000 among females (Table 2). The incidence of reported AHB among males aged 15–39 in low endemic areas decreased significantly between 2005 and 2012 (APC=−13.45%,P<0.05). However, the decrease was less pronounced between 2012 and 2021 (APC=−2.64%,P>0.05). In intermediate endemic areas from 2005 to 2021, consistent decreases were observed among both males (APC=−9.74%,P<0.05) and females (APC=−7.76%,P<0.05). In high endemic areas, a slight decrease was noted among males between 2005 and 2012 (APC=−5.57%,P<0.05) and among females between 2005 and 2014 (APC=−3.45%,P<0.05). This was followed by a marked decrease among males from 2012 to 2021 (APC=−13.30%,P<0.05) and among females between 2005 and 2014 (APC=−12.80%,P<0.05). Trends varied by age group and endemic area (Table 2,Figure 1).

      Age (years) Gender Incidence rate (1/100,000) Total study period Trend 1 Trend 2 Trend 3 Trend 4
      2005 2021 AAPC (%) 95%CI Years APC (%) Years APC (%) Years APC (%) Years APC (%)
      Low endemicity
      Total 5.96 3.07 −4.78* (−6.38, −3.02) 2005–2012 −9.86* 2012–2021 −0.63
      0−14 Male 2.53 0.43 −12.58* (−15.66, −9.50) 2005–2012 −20.56* 2012–2018 2.90 2018–2021 −21.11*
      Female 1.35 0.36 −9.31* (−12.24, −6.36) 2005–2013 −17.56 2013–2016 18.38 2016–2021 −9.97
      15−39 Male 11.88 4.23 −7.53* (−8.96, −5.94) 2005–2012 −13.45* 2012–2021 −2.64
      Female 6.16 3.26 −4.97* (−7.35, −2.43) 2005–2021 −4.97*
      ≥40 Male 6.56 4.62 −2.49* (−3.94, −0.85) 2005–2012 −6.79* 2012–2021 0.99
      Female 2.43 2.58 −0.35 (−2.47, 1.90) 2005–2021 −0.35
      Intermediate endemicity
      Total 8.04 2.55 −6.30* (−7.60, −4.93) 2005–2021 −6.30*
      0−14 Male 4.67 0.50 −12.95* (−15.16, −10.25) 2005–2011 −24.83* 2011–2021 −4.94
      Female 2.63 0.38 −11.01* (−12.59, −9.24) 2005–2011 −23.67* 2011–2021 −2.43
      15−39 Male 15.82 3.25 −9.74* (−10.81, −8.62) 2005–2021 −9.74*
      Female 7.94 2.08 −7.76* (−8.94, −6.52) 2005–2021 −7.76*
      ≥40 Male 8.07 4.01 −4.33* (−5.38, −3.37) 2005–2018 −1.91* 2018–2021 −14.16*
      Female 3.37 2.28 −2.49* (−4.05, −1.10) 2005–2018 0.09 2018–2021 −12.92*
      High endemicity
      Total 10.42 3.23 −7.45* (−8.12, −6.79) 2005–2015 −4.36* 2015–2021 −12.38*
      0−14 Male 4.63 0.29 −16.82* (−18.13, −15.65) 2005–2011 −19.12* 2011–2019 −11.62* 2019–2021 −29.00*
      Female 2.25 0.22 −13.43* (−14.40, −12.48) 2005–2007 −8.34 2007–2011 −21.07* 2011–2016 −3.63 2016–2021 −18.16*
      15−39 Male 23.14 4.59 −10.00* (−10.56, −9.39) 2005–2012 −5.57* 2012–2021 −13.30*
      Female 10.62 3.21 −7.66* (−8.48, −6.82) 2005–2014 −3.45* 2014–2021 −12.80*
      ≥40 Male 9.98 5.27 −4.04* (−4.91, −3.19) 2005–2015 0.08 2015–2021 −10.53*
      Female 3.53 2.67 −1.88* (−2.69, −1.05) 2005–2015 2.75* 2015–2021 −9.14*
      Abbreviation: AHB=acute hepatitis B; APC=annual percent change; AAPC=average annual percent change;CI=confidence interval.
      *P<0.05.

      Table 2.Trends in AHB incidence across various time segments identified through joinpoint analysis by endemic areas, age groups, and gender, 2005–2021, China.

      Figure 1.

      Joinpoint analysis of AHB incidence in low, intermediate, and high endemic areas of China from 2005 to 2021. (A) Trends of AHB incidence in low endemic areas. (B) Trends of AHB incidence in intermediate endemic areas. (C) Trends of AHB incidence in high endemic areas.

      Abbreviation: HepB=hepatitis B vaccine; AHB=acute hepatitis B; iPMTCT=integrated prevention of mother-to-child transmission of HIV, syphilis, and hepatitis B; HIV=human immunodeficiency virus.
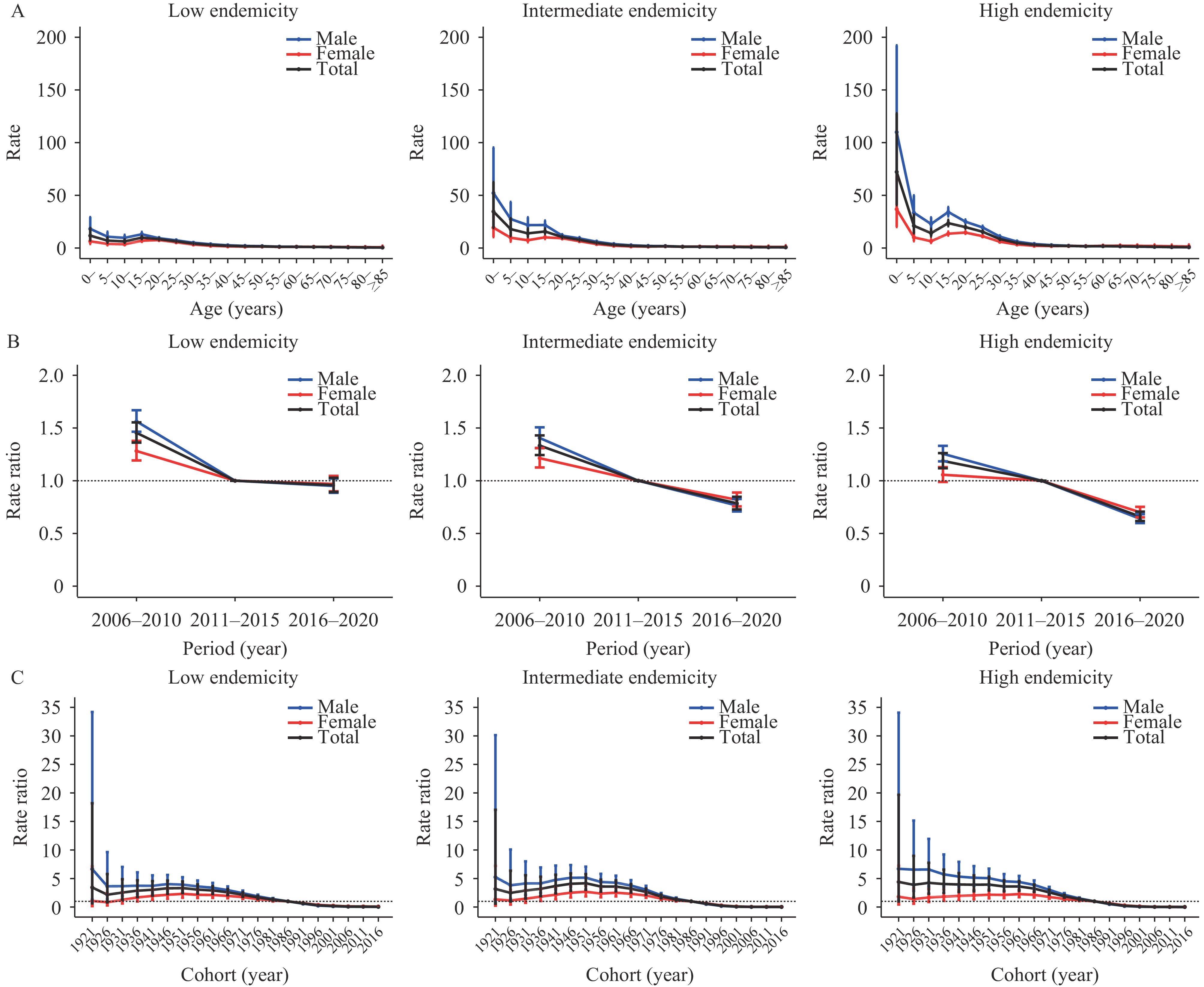
    • The impact of age on AHB incidence was consistent across low, intermediate, and high endemic areas. Incidence rates significantly decreased from the 0–4 age group to the 10–14 age group, peaked in the 15–19 age group, and then declined in the older age groups (Figure 2).

      Figure 2.

      Age, period, and cohort effects on AHB incidence in low, intermediate, and high endemic areas of China from 2006 to 2020. (A) Age effects on AHB incidence in low, intermediate, and high endemic areas. (B) Period effects on AHB incidence in low, intermediate, and high endemic areas. (C) Cohort effects on AHB incidence in low, intermediate, and high endemic areas.

      Abbreviation: AHB=acute hepatitis B.

      Period effects demonstrated declines in AHB risk for both males and females across all endemic areas from 2006 to 2020. The highest risk was observed during the period 2006–2010. Using 2011–2015 as the reference period, the overall relative risk (RR) in low, intermediate, and high endemic areas was 1.45 (95%CI: 1.36, 1.55), 1.33 (95%CI: 1.24, 1.43), and 1.19 (95%CI: 1.12, 1.26), respectively. The period 2016–2020 exhibited the lowest risk, withRRvalues of 0.95 (95%CI: 0.89, 1.03), 0.79 (95%CI: 0.73, 0.85), and 0.66 (95%CI: 0.62, 0.71) for low, intermediate, and high endemic areas, respectively (Figure 2).

      In high-endemic areas, a consistent decline in the cohort effect was observed among males. In contrast, in low and intermediate endemic areas, the cohort effect decreased rapidly between 1921 and 1926, slightly increased in the cohort born between 1926 and 1951, and then continued to decline (Figure 2).

    • This study revealed that the incidence of reported AHB was highest among individuals aged 15–39 years in 2005, similar to patterns observed in the early period in the United States (5). This age group experienced the largest decline in incidence, particularly males in high endemic areas, from 23.14 per 100,000 in 2005 to 4.59 per 100,000 in 2021 and among females from 10.62 per 100,000 to 3.21 per 100,000. Additionally, this study’s findings indicated a rapid decrease in AHB incidence among 15–39-year-olds following the introduction of a plasma-derived HepB vaccine in China in 1985. Among children under 15 years old in low, intermediate, and high endemic areas, the incidence dropped from 1.65, 2.33, and 2.56 per 100,000 in 2005–2010 to 0.56, 0.58, and 0.48 per 100,000 in the 2016–2021 period, reflecting the success of China’s EPI, which included HepB in 2002. Although the incidence decline among individuals over 40 years old was smaller, China has made significant strides in controlling AHB. Analysis of long-term trends in AHB incidence showed that low endemic areas experienced rapid declines in the early stages and gradual declines later on, whereas intermediate endemic areas had consistent downward trends. High endemic areas experienced slow declines initially and more rapid declines in later stages, likely influenced by HepB vaccination coverage and regional variations in hepatitis B endemicity.

    • Age is a crucial factor influencing AHB incidence. Historically, the predominant mode of HBV transmission in China has been mother-to-child transmission (6). This study’s findings indicate that the age effect peaks in the 0–4-year-old group, likely due to the high infection risk from mother-to-child transmission, weakened passive immunity, and lowered resistance to HBV in this age group. The age effect diminishes in the 5–14-year-old group, aligning with Liu et al.’s study on hepatitis B incidence in children aged 0–10 years (7). In the 15–19-year-old group, a slight increase in the age effect may be attributed to declining hepatitis B antibody levels and increased social activity-related infection risk. Factors influencing hepatitis B infection in this demographic warrant further investigation. In adults, the age effect decreases and stabilizes in individuals aged 45 years and older, possibly due to established immunity.

    • This study observed decreasing period effects across all endemic areas, indicating that enhanced immunization strategies and comprehensive prevention and control measures have been pivotal in reducing the reported incidence of AHB in China. The HepB vaccine has been provided free of charge to children in China since 2002. Moreover, from 2009 to 2011, China conducted a HepB catch-up campaign targeting children under 15 years of age born between 1994 and 2001 (4). In 2010, China became the first country to propose the integrated prevention of mother-to-child transmission of HIV, syphilis, and hepatitis B (iPMTCT) Program, which expanded nationwide by 2015 (8). These significant measures likely contribute to the sustained downward trend in period effects. Additionally, the AHB surveillance pilot project, which began in 2013, selected 200 counties as surveillance sites. This project aimed to improve the accuracy of AHB reporting in the NNDRS by standardizing diagnostic procedures and promoting IgM anti-HBc testing to differentiate between AHB and chronic hepatitis B flare-ups (4). This initiative has also played a role in the decline in AHB incidence.

    • This study observed declining cohort effects across all endemic areas, indicating that younger birth cohorts have a lower risk of AHB. This trend aligns with the implementation of comprehensive hepatitis B prevention and control measures, such as increased hospital delivery rates and enhanced HepB vaccination coverage for newborns. However, there was a slight rise in cohort effects in those born between 1951 and 1955, warranting further investigation.

      The strengths of this study include utilizing national surveillance data from the NNDRS spanning 2005–2021, which ensures consistency in methodology and offers a comprehensive depiction of nationwide incidence trends. Additionally, it analyzed incidence trends and age-period-cohort effects by endemic area, age group, and gender, providing robust evidence of successful hepatitis B control practices in China.

      However, the study was subject to some limitations, primarily due to variations in the diagnosis of AHB in NNDRS. Previous studies indicated that flare-ups of chronic hepatitis B were often misreported as AHB (9-10). Consequently, the reported AHB incidence in NNDRS is likely higher than the actual incidence. Furthermore, the observation period was relatively short, including only case data since 2005.

      In conclusion, this study assessed the incidence of AHB from 2005 to 2021, revealing a decrease across all age groups and endemic areas. Notably, the reported incidence of AHB in children aged 14 years and below has dropped to low levels. However, the incidence remains higher in individuals aged 15 years and above compared to younger populations. To further reduce AHB incidence among adolescents and adults, it is crucial to enhance HepB vaccination rates in these age groups. Additionally, maintaining high vaccination coverage, conducting comprehensive HBV screening, administering antiviral agents to pregnant mothers, and ensuring a low AHB incidence rate are vital strategies for eliminating HBV transmission.

    • No conflicts of interest.

    • Dr. Lance Rodewald from the Chinese Center for Disease Control and Prevention for his comments and English language editing.

Reference (10)

Citation:

Catalog

    /

    Return
    Return
      Baidu
      map